Practice 2.6 Structure of DNA and RNA with authentic IB Biology exam questions for both SL and HL students. This question bank mirrors Paper 1A, 1B, 2 structure, covering key topics like cell biology, genetics, and ecology. Get instant solutions, detailed explanations, and build exam confidence with questions in the style of IB examiners.
Which of the following involves complementary base pairing?
I. Transcription II. Translation III. Replication IV. Denaturation
If 15% of a sample of DNA is thymine, what percentage of the DNA is guanine?
Which DNA has identical base pair sequences?
I. DNA that segregates during mitosis
II. DNA that segregates during meiosis I
III. DNA that segregates during meiosis II
What is the arrangement of subunits in a DNA nucleotide?
What provides evidence for the universal nature of the genetic code?
What happens as an enzyme becomes denatured?
What is a codon?
How do enzymes speed up biochemical reactions?
A molecule of DNA is found to contain 200 guanine bases, representing 25 % of the total number of bases. How many phosphate groups does this molecule of DNA contain?
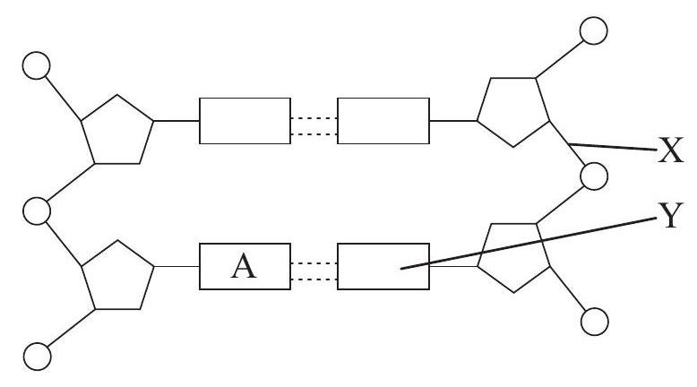
What does the structure labelled represent?
