Practice AHL 3.15—Adjacency matrices and tables with authentic IB Mathematics Applications & Interpretation (AI) exam questions for both SL and HL students. This question bank mirrors Paper 1, 2, 3 structure, covering key topics like core principles, advanced applications, and practical problem-solving. Get instant solutions, detailed explanations, and build exam confidence with questions in the style of IB examiners.
A neural network has nodes , and , with directed edges representing signal propagation. The adjacency matrix is:
Draw the directed graph.
Find the number of walks of length 6 from to .
List all trails of length 4 from to .
A new node is added, sending signals to and , and receiving from . Update the adjacency matrix and graph.
In the updated network, find the number of nodes reachable from in exactly 3 steps.
A museum has exhibits , and , connected by pathways with weights as viewing times (in minutes). The adjacency matrix is:
Construct the adjacency table for the pathways.
Use Kruskal's algorithm to find the MST, listing edges in order of selection.
A visitor wants to view all exhibits, starting and ending at . Find an upper bound for the total time using the nearest neighbor algorithm.
Find a lower bound using the MST from part (b).
If a new exhibit is added with pathways , and , update the MST and calculate its total weight.
A transport network has hubs , and , with directed edges representing one-way routes. The adjacency matrix includes self-loops (hubs retaining cargo):
Draw the directed graph, including self-loops.
Find the number of walks of length 5 from to .
A cargo starts at . Determine which hubs are reached after exactly 4 steps.
A new hub is added, sending to and , and receiving from . Update the adjacency matrix and graph.
In the updated network, find the number of walks of length 3 from to , and interpret in the context of cargo transport.
A city's metro system has stations , with weighted edges representing distances (in km). The adjacency matrix is:
Construct the adjacency table for the network.
Use Kruskal's algorithm to find the MST, listing edges in order of selection.
A tourist starts at and visits all stations, returning to . Use the nearest neighbor algorithm to find an upper bound for the distance.
Find a lower bound using the MST from part (b).
If a new station is added with edges , and , update the MST and calculate its new total weight.
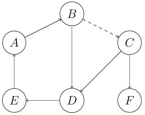
A robot navigates a grid of rooms , and , with directed edges indicating possible movements, some marked with sensors (dashed edges) that double the probability of being chosen. The graph is:

Determine the transition matrix for the robot's movement, considering sensor paths have twice the probability of normal paths.
Using a graphic display calculator, estimate the percentage of time the robot spends at if it moves indefinitely.
Comment on one limitation of this probabilistic model.
If a new room is added with a sensor path to and a normal path from , update the transition matrix.
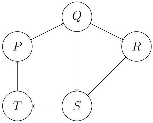
A directed graph models a data network with nodes , and , representing servers, and directed edges indicating one-way data transmission.

Write down the adjacency matrix for this graph, with rows and columns ordered .
Find the number of distinct walks of length 5 from to .
Determine the number of servers reachable from in exactly 3 steps.
A new server is added, receiving data from and sending to . Update the adjacency matrix and redraw the graph.
In the updated network, calculate the number of walks of length 4 from to .
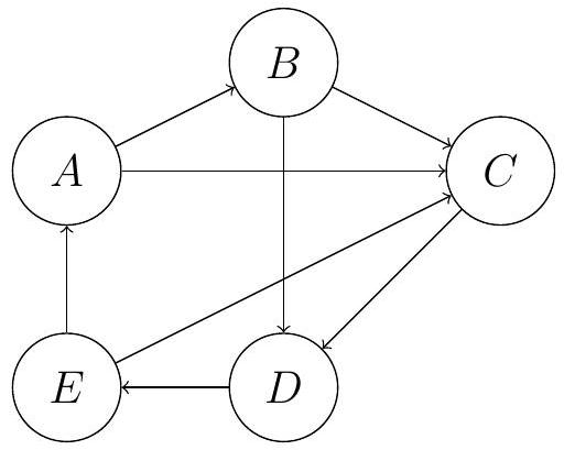
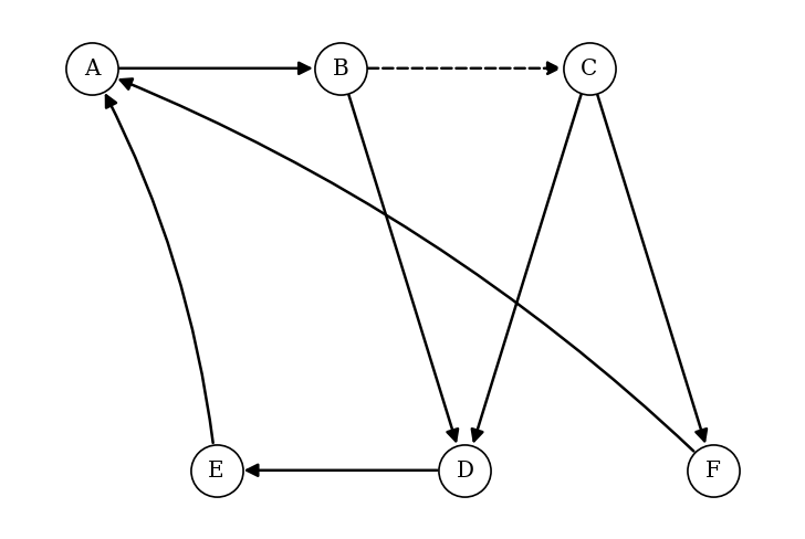
A communication network between five research stations, labeled , and , is represented by a directed graph. The directed edges indicate one-way communication links. The graph is shown below.

Write down the adjacency matrix for this directed graph, with rows and columns ordered as .
Calculate the number of distinct walks of length 4 from vertex to vertex .
A message is sent from station and must pass through exactly two other stations before reaching station . Determine the number of possible routes for this message.
The network is upgraded by adding a new station , connected such that sends messages to and , and receives messages from . Update the adjacency matrix to include station .
Using the updated matrix from part (d), find the number of walks of length 3 from to .
A social network is modeled as a graph with vertices , representing users, and edges indicating direct friendships. The adjacency matrix is:

Determine the degree of each vertex.
Find the number of walks of length 5 from to .
A message starts at and spreads to friends, then friends of friends, and so on. Find the number of users who receive the message after exactly 3 steps.
The network adds a new user , connected to and . Update the adjacency matrix and redraw the graph.
Using the updated matrix, find the number of triangles (cycles of length 3) including vertex .
A communication system has nodes , and , with directed edges representing signal paths, some with self-loops. The adjacency matrix is:
Draw the directed graph, including self-loops.
Find the number of walks of length 4 from to .
Determine the number of nodes reachable from in exactly 5 steps.
A new node is added, sending signals to and , and receiving from . Update the adjacency matrix and graph.
In the updated system, find the number of cycles of length 3 including .
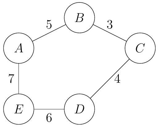
A logistics company operates a network of warehouses labeled , and , connected by direct delivery routes with weights representing distances (in km). The weighted graph is shown below.

Write down the adjacency matrix for this graph, with rows and columns ordered .
Use Kruskal's algorithm to find the minimum spanning tree (MST), listing the edges in the order they are selected.
Calculate the total distance of the MST.
A delivery van must visit all warehouses, starting and ending at . Use the nearest neighbor algorithm to find an upper bound for the total distance.
Determine a lower bound for the van's total distance using the MST from part (b).