Practice AHL 3.14—Graph theory with authentic IB Mathematics Applications & Interpretation (AI) exam questions for both SL and HL students. This question bank mirrors Paper 1, 2, 3 structure, covering key topics like core principles, advanced applications, and practical problem-solving. Get instant solutions, detailed explanations, and build exam confidence with questions in the style of IB examiners.
A graph has the degree sequence:
Is this a valid simple graph? Justify using the Havel-Hakimi algorithm.
How many edges does the graph contain?
What is the minimum number of edges in a connected graph with 6 vertices?
What is the minimum number of edges in a connected graph with 6 vertices?
A graph G has an adjacency matrix A . You are told that the entry .
What does this entry represent?
How can this information be used in analyzing graph connectivity?
A graph has 5 vertices. Its adjacency matrix squared is:
What does the entry tell you about the graph?Interpret your answer.
How many different spanning trees exist in a complete graph with 5 vertices?
How many different spanning trees exist in a complete graph with 5 vertices?
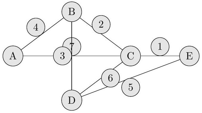
Consider the following weighted graph:

Use Dijkstra's Algorithm to find the shortest path from vertex A to E. Show all steps.
Consider the adjacency matrix of a graph with 4 vertices:
How many edges does the graph have?
Is the graph Eulerian?
A connected graph has 9 vertices and 14 edges.
Find the number of independent cycles** in the graph.
What is the minimum number of edges that must be removed to turn it into a tree?
Explain why every connected graph with v vertices and v or more edges must contain at least one cycle.
A graph has the following degree sequence:
Can this be a simple graph (no loops or multiple edges)? Justify your answer.
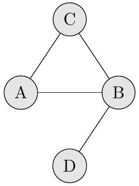
Consider the following undirected graph:

Find the degree of vertex B .