Practice SL 2.11—Transformation of functions with authentic IB Mathematics Analysis and Approaches (AA) exam questions for both SL and HL students. This question bank mirrors Paper 1, 2, 3 structure, covering key topics like functions and equations, calculus, complex numbers, sequences and series, and probability and statistics. Get instant solutions, detailed explanations, and build exam confidence with questions in the style of IB examiners.
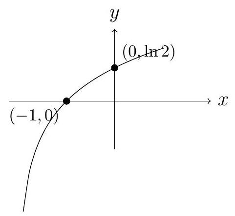
The graph of , for , is shown below, with points at and .

Let , defined for . The graph of is obtained from the graph of by a horizontal translation of 3 units to the left, a vertical stretch with scale factor 2 , and a reflection in the x-axis.
Express in terms of .
Find .
Sketch the graph of for , indicating the vertical asymptote and the point corresponding to on .
Find the equation of the line tangent to the graph of at .
Describe a sequence of transformations that transforms the graph of to the graph of .
The function is defined for , with range . Let .
Write down the range of .
Let . Write down the domain of .
Consider the quadratic function .
Describe the transformations applied to the function to obtain the function .
Given that on the interval , find the area between the curves and within that interval.
The point lies on the curve . Write down the coordinates of the corresponding point under the following transformations:
Let . The graph of is obtained from the graph of by applying the following transformations in order: a horizontal translation of 3 units to the left, followed by a vertical stretch by a factor of 2.
Express in the form .
The point lies on the graph of . Find the coordinates of the corresponding point on the graph of .
[Maximum mark: 4] [without GDC]
The graph of is shown below. The points ( ) and ( 3,0 ) lie on the graph, with a minimum at .

Sketch the graph of on the diagram below.

The point is on the graph of . Find the coordinates of the corresponding point on the graph of .
The point lies on the curve . Write down the coordinates of the corresponding point under the following transformations:
[Maximum mark: 4] [without GDC] The function is defined for , with range . Let .
Write down the range of .
Let . Write down the domain of .
A rational function has vertical asymptote and horizontal asymptote . It passes through the points and .
Show that the function can be written in the form for some constant , and determine . Hence write explicitly as with integer coefficients.
Determine all key features of : domain, range, intercepts, asymptotes, and the sign of on and .
Let (domain ).
Solve to three decimal places and justify exactly one solution in each of and .
Describe transformations mapping to .
The graph of a quadratic function has -intercepts at and . The vertex of the graph lies on the line .
Find an expression for .
Determine the range of .
The domain of is restricted to . Find an expression for .
Describe a sequence of transformations that maps the graph of to the graph of .
Practice SL 2.11—Transformation of functions with authentic IB Mathematics Analysis and Approaches (AA) exam questions for both SL and HL students. This question bank mirrors Paper 1, 2, 3 structure, covering key topics like functions and equations, calculus, complex numbers, sequences and series, and probability and statistics. Get instant solutions, detailed explanations, and build exam confidence with questions in the style of IB examiners.
The graph of , for , is shown below, with points at and .

Let , defined for . The graph of is obtained from the graph of by a horizontal translation of 3 units to the left, a vertical stretch with scale factor 2 , and a reflection in the x-axis.
Express in terms of .
Find .
Sketch the graph of for , indicating the vertical asymptote and the point corresponding to on .
Find the equation of the line tangent to the graph of at .
Describe a sequence of transformations that transforms the graph of to the graph of .
The function is defined for , with range . Let .
Write down the range of .
Let . Write down the domain of .
Consider the quadratic function .
Describe the transformations applied to the function to obtain the function .
Given that on the interval , find the area between the curves and within that interval.
The point lies on the curve . Write down the coordinates of the corresponding point under the following transformations:
Let . The graph of is obtained from the graph of by applying the following transformations in order: a horizontal translation of 3 units to the left, followed by a vertical stretch by a factor of 2.
Express in the form .
The point lies on the graph of . Find the coordinates of the corresponding point on the graph of .
[Maximum mark: 4] [without GDC]
The graph of is shown below. The points ( ) and ( 3,0 ) lie on the graph, with a minimum at .

Sketch the graph of on the diagram below.

The point is on the graph of . Find the coordinates of the corresponding point on the graph of .
The point lies on the curve . Write down the coordinates of the corresponding point under the following transformations:
[Maximum mark: 4] [without GDC] The function is defined for , with range . Let .
Write down the range of .
Let . Write down the domain of .
A rational function has vertical asymptote and horizontal asymptote . It passes through the points and .
Show that the function can be written in the form for some constant , and determine . Hence write explicitly as with integer coefficients.
Determine all key features of : domain, range, intercepts, asymptotes, and the sign of on and .
Let (domain ).
Solve to three decimal places and justify exactly one solution in each of and .
Describe transformations mapping to .
The graph of a quadratic function has -intercepts at and . The vertex of the graph lies on the line .
Find an expression for .
Determine the range of .
The domain of is restricted to . Find an expression for .
Describe a sequence of transformations that maps the graph of to the graph of .