
- IB
- Reactivity 2. How much, how fast and how far?

Practice Reactivity 2. How much, how fast and how far? with authentic IB Chemistry exam questions for both SL and HL students. This question bank mirrors Paper 1A, 1B, 2 structure, covering key topics like atomic structure, chemical reactions, and organic chemistry. Get instant solutions, detailed explanations, and build exam confidence with questions in the style of IB examiners.
The reaction between sodium thiosulfate and hydrochloric acid forms a precipitate:
Describe a method to determine the rate of this reaction.
Suggest how temperature affects the time for the cross to disappear.
Explain this effect in terms of activation energy.
Ethanol can be produced by fermentation of glucose under anaerobic conditions, a process widely used in the biofuel industry.
Write the balanced chemical equation for the fermentation of glucose, to produce ethanol.
Calculate the atom economy for ethanol in this process. (Give your answer to 1 decimal place.)
If of glucose is fermented, calculate the mass of ethanol and the mass of carbon dioxide produced.
Suggest one advantage and one disadvantage of using fermentation over industrial hydration of ethene.
Carbon dioxide is collected from the decomposition of calcium carbonate.
Calculate the number of moles in 4.4 g of .
Deduce the volume of this gas at STP.
Calculate the mass of required to produce this amount of .
Ammonia is formed by the Haber process:
The diagram below shows the energy profile of this reaction.

State what is meant by the term activation energy.
Identify whether the reaction is exothermic or endothermic and justify your answer using the diagram.
Suggest one reason why a high temperature is required for this reaction to proceed at a practical rate.
Explain how the use of a catalyst would affect the energy profile diagram.
The Haber process is a reversible reaction. State and explain one condition used in industry to increase the yield of ammonia.
Hydrogen peroxide decomposes slowly at room temperature:
State one way to measure the rate of this reaction.
State how the rate of reaction changes as the reaction proceeds.
Explain your answer to part 2.
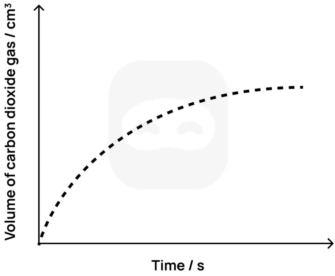
The reaction between calcium carbonate and hydrochloric acid is represented by the following equation:
A student measured the volume of carbon dioxide produced over time at room temperature. The results are shown in the graph below.

State the meaning of the term rate of reaction.
Describe the shape of the graph.
Determine the average rate of reaction between 0 and 10 seconds if the volume of collected at 10 s is 22.5 cm³.
Suggest why the reaction eventually stops.
Explain, in terms of collision theory, why the rate of reaction is highest at the beginning.
Sketch how the graph would differ if the concentration of hydrochloric acid were doubled.
In a laboratory experiment, 1.20 g of product was obtained from a reaction with a theoretical yield of 1.50 g.
Define the term percentage yield.
Calculate the percentage yield.
State one reason why the yield may be lower than expected.
The following infrared spectrum is for 2-butanone, an organic compound with the molecular formula .

Identify the functional group present in 2-butanone that corresponds to the strong absorption peak around 1715 .
Predict why there is no broad absorption peak in the region around 3200–3600 .
Discuss the significance of multiple sharp peaks appear between 1000-1300 in organic structure identification.
The IR spectrum of 2-butanone was recorded to monitor a chemical reaction.
Explain how this spectrum could be used to determine whether 2-butanol has been fully oxidized to 2-butanone.
2-butanone and butanoic acid have the same molecular formula.
Describe how their IR spectra would differ, and explain how these differences arise.
The reaction:
was studied with the following initial concentrations:
Write the expression for the reaction quotient .
Calculate the value of .
Given that , predict the direction the reaction will proceed to reach equilibrium.
Hydrogen peroxide decomposes in aqueous solution according to the reaction:
The concentration of hydrogen peroxide was measured over time. The graph below shows the concentration of H2O2 decreasing during the reaction.

Explain how the rate of reaction can be determined from the graph at a specific time.
Suggest why the curve flattens out as the reaction proceeds.
Calculate the average rate of reaction between and seconds, given that falls from 0.400 mol dm-3 to 0.200 mol dm-3.
Describe how you would determine the initial rate of reaction using the graph.
The rate equation for the decomposition is:
Explain how you could determine the order of reaction, , from experimental data.
Sketch a graph of versus time for a first-order reaction.