- IB
- Question Type 5: Applying adjacency matrices with some real world context
Compute the eigenvector centrality of node 1 in the adjacency matrix by finding the normalized eigenvector corresponding to the largest eigenvalue.
[6]Adjacency matrices and paths in graph theory.
In a social network, the adjacency matrix (where if users and are friends, and otherwise) is defined as:
Determine how many mutual friends users 1 and 2 share.
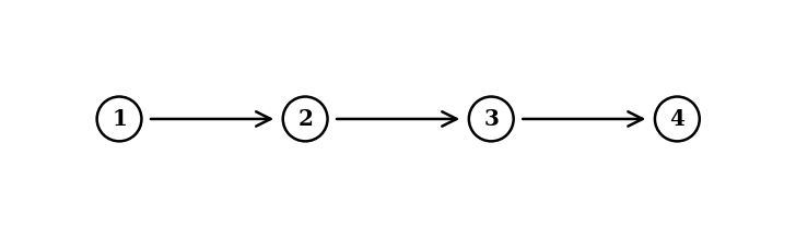
[3]Use the adjacency matrix of the directed graph below to compute the reachability matrix (transitive closure).

Label nodes in order 1 to 4.
[4]Adjacency matrices for directed networks.
Construct the adjacency matrix for a directed network of 4 nodes where the directed edges are: , , , , and .
[2]A directed graph has adjacency matrix
Compute the number of distinct paths of length 2 from vertex 1 to vertex 3.
The undirected graph has adjacency matrix:
Find the degree of vertex 2 in .
[1]A transportation network of 3 cities has adjacency matrix
where if there is a direct bus route between city and city . Find the number of different two-bus-ride itineraries that exist from city 1 to city 2 (allowing revisits).
[2]In a social network with adjacency matrix representing the friendships between 5 users, it is given that the entry . Interpret this value in the context of the social network.
[3]Given an undirected graph with adjacency matrix , show that the trace of equals times the number of triangles in the graph.
[3]Given the adjacency matrix of an undirected graph with 4 vertices:
Determine the number of edges in the graph.
[2]A flight network of 4 airports is given by the adjacency matrix
Calculate the number of distinct two-leg flight options from airport 1 to airport 3.
[3]A social network’s adjacency matrix is given by
Determine whether the network is bipartite.
[4]The directed graph , shown below, has vertices .

Determine whether the graph is strongly connected. Justify your answer.
[3]A weighted adjacency matrix for 3 warehouses shows shipping times (in hours):
Ignoring the weights, find how many distinct two-hop routes exist from warehouse 1 to warehouse 3.
[4]