- IB
- Question Type 2: Finding the area of a closed region within a Voronoi Diagram
Seven sites are at , , , , , and the central site at . Compute the area of the Voronoi cell around .
[7]Six sites lie at , , , , and the center site at . Determine the area of the Voronoi cell surrounding the point .
[5]The problem involves calculating the area of a Voronoi cell for a center site surrounded by six other sites forming a rectangular pattern. The sites are and .
A Voronoi diagram is defined by seven sites in the Cartesian plane. Six of these sites are located at the corners and midpoints of the longer edges of a rectangle: , , , , , and . The seventh site is located at the center of the rectangle, .
Calculate the area of the Voronoi cell for the site at .
[6]Six points lie at the vertices of a regular hexagon of circumradius centered at the origin. Find the area of the Voronoi cell of the center.
[4]Eight sites are located at , , , , , , , and . A ninth site is located at the origin .
Find the area of the Voronoi cell for the site at the origin.
[6]Twelve points lie equally spaced on a circle of radius centred at the origin. Find the area of the Voronoi cell of the origin.
[4]Eight points lie on a circle of radius equally spaced around the origin. Compute the area of the Voronoi cell of the origin.
[4]Ten points lie on a circle of radius equally spaced around the origin. Find the area of the Voronoi cell of the origin.
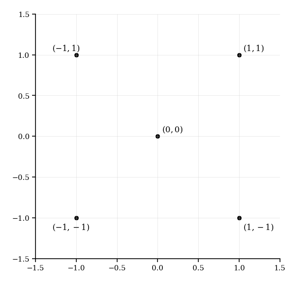
[5]A set of five points is given in the Cartesian plane as shown in the diagram below.

Given the five points at , , , and , find the area of the Voronoi cell corresponding to the point .
[6]Five sites are located in a plane. Four of the sites are at , , , and . The fifth site, , is located at . Determine the area of the Voronoi cell containing the site .
[6]Five sites are at , , , and the center site at . Find the area of the Voronoi cell around .
[3]