Electrophilic Substitution Reactions in Benzene
Why Benzene Undergoes Substitution, Not Addition
- Benzene is an aromatic hydrocarbon with exceptional stability due to its delocalized π-electron system.
- This stability, known as aromatic stability, makes benzene resistant to addition reactions, which would disrupt its delocalized π-electron cloud.
- Instead, benzene undergoes substitution reactions, where a hydrogen atom on the ring is replaced by another group, preserving its aromaticity.
Key Features of Benzene:
- Delocalized π-electrons: These electrons are evenly distributed across the six carbon atoms, creating a stable ring.
- Aromaticity: Benzene follows Hückel’s rule ($4n + 2$ π-electrons, where $n = 1$), which is a criterion for aromatic stability.
- Resistance to Addition: Addition reactions would break the conjugation of π-electrons, destabilizing the aromatic system.
General Mechanism of Electrophilic Substitution in Benzene
Electrophilic substitution in benzene involves three main steps:
Generation of the Electrophile
The electrophile ($E^+$) is generated outside the benzene molecule.
- In the nitration of benzene, the nitronium ion ($NO_2^+$) is produced by reacting concentrated nitric acid ($HNO_3$) with sulfuric acid ($H_2SO_4$):$$HNO_3 + H_2SO_4 \rightleftharpoons H_2NO_3^+ + HSO_4^-$$ $$H_2NO_3^+ \rightarrow NO_2^+ + H_2O$$
- The nitronium ion ($NO_2^+$) acts as the electrophile.
When generating the electrophile, remember that sulfuric acid acts as a catalyst by protonating nitric acid, making it easier to form $NO_2^+$.
Electrophilic Attack
- The delocalized π-electrons in benzene are attracted to the electrophile, donating a pair of electrons to form a new covalent bond.
- This step breaks the aromaticity of the ring, creating a carbocation intermediat e(also known as an arenium ion or sigma complex).
- The carbocation intermediate is stabilized by resonance, but it is less stable than the aromatic benzene ring.
Restoration of Aromaticity
- To restore aromaticity, the carbocation intermediate loses a proton ($H^+$) from the carbon atom bonded to the electrophile.
- A base (often water or $HSO_4^-$) abstracts this proton, and the π-electron cloud is re-established.
- The loss of aromaticity during the intermediate stage is temporary.
- The system quickly regains stability by restoring the delocalized π-electron cloud.
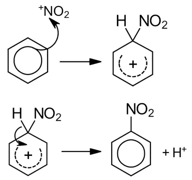
Nitration of Benzene
Let’s apply the general mechanism to the nitration of benzene, where benzene reacts with a nitronium ion ($NO_2^+$) to form nitrobenzene ($C_6H_5NO_2$).
Step-by-Step Mechanism:
- Generation of the Electrophile:
- The nitronium ion ($NO_2^+$) is produced in a mixture of concentrated nitric acid and sulfuric acid:
$$HNO_3 + H_2SO_4 \rightarrow NO_2^+ + H_2O + HSO_4^-$$
- The nitronium ion ($NO_2^+$) is produced in a mixture of concentrated nitric acid and sulfuric acid:
- Electrophilic Attack:
- The π-electrons in benzene attack the nitronium ion, forming a bond between the carbon atom and the nitrogen atom of $NO_2^+$.
- This creates a carbocation intermediate, disrupting the aromaticity of the ring.
- Restoration of Aromaticity:
- A proton ($H^+$) is removed from the carbocation intermediate, restoring the aromatic π-system and yielding nitrobenzene ($C_6H_5NO_2$).
The overall reaction is:
$$C_6H_6 + NO_2^+ \rightarrow C_6H_5NO_2 + H^+$$
- Why does benzene undergo substitution reactions instead of addition reactions?
- What is the role of sulfuric acid in the nitration of benzene?


