- IB
- Question Type 3: Determining properties of a given directed graph
The following question requires the construction of a directed graph and the formulation of its weighted adjacency matrix based on given network data.
Six warehouses to are connected by directed routes with costs (in hundreds of dollars):
, , , , , , .
Construct the directed graph and write its weighted adjacency matrix (use 0 for no route).
[5]The following directed graph consists of six vertices, , and .

Identify the strongly connected components of the directed graph.
[5]Six warehouses must be visited by a delivery truck starting at . The directed routes and costs are:
, , , , , , , , .
Represent this scenario as a directed graph with weighted edges and write its adjacency matrix (use for no direct route).
[5]The following adjacency matrix represents the weights of edges between five vertices , , , , and in a weighted graph:
Using Dijkstra’s algorithm, determine the shortest path from to and state its total cost.
[6]Directed graphs and reachability.
Given the directed graph with edges , list all vertices reachable from .
[2]A directed graph consists of four vertices , , , and . The graph contains the path , but vertex has no outgoing edges.
Determine whether the graph is strongly connected. Justify your answer.
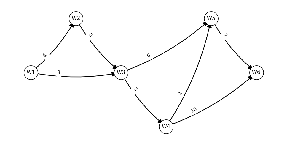
[3]The following directed graph shows the transport costs (in hundreds of dollars) between six warehouses, denoted as and .

Determine if there is a path from to . If a path exists, provide one such path and calculate its total cost.
[3]The following directed graph shows the delivery routes between six warehouses, and .

Determine the out-degree of each vertex.
[2]In a directed graph , vertex has two outgoing edges and one incoming edge.
Determine whether contains an Eulerian circuit. Justify your answer by comparing in-degrees and out-degrees.
[3]Convert the following adjacency list into an adjacency matrix for the directed graph with vertices .
Adjacency list:
Given the directed graph with vertices and edges , find the in-degree and out-degree of each vertex.
[5]Level: HL | Paper: 1
Consider the adjacency matrix of a directed graph with vertices given by
Compute the in-degree and out-degree of vertex 3.
[2]